Hauptmenü
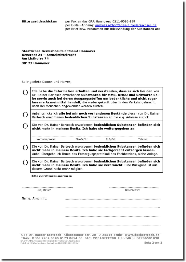
zurück Download dieser Seite als PDF-Datei zum Ausdrucken Weiter zu Verwaltungsverfügung Gewerbeaufsichtsamt Hannover
Homepage | Detox-Fußbad | Detox Studien | Detox Anleitungen | Detox Praxisadressen | NES Health TWSystem | HRV-System | Wärmetherapie | Diagnose-Systeme | Ultraschall-Zahnpflege | Wasser-Ionisatoren | Edelstein-Wasser | PEN YANG Produkte | PENYA Kuscheltiere | Froximun Entgiftung | Fachbuch und DVD | Kaufen/Leihen/Leasen | Vertriebspartner | Links | MMS-Rückrufaktion | Feedbackformular | Verwaltungsverfügung | Impressum | AGB | Widerrufsrecht | Site Map | BIOSCAN-Update | Site Map